Carotenoids obi
All carotenoids     All organisms     All pathways     All reactions     Feedback CarotenoidsDB: eudicotyledons
welcome
  [   About  |   Help  |   Search carotenoid entry  |   Search organism entry  |   Search similar carotenoids  |   Search simiar profiles in all levels of lineages  |   Predict biological activity of a carotenoid  ]
  Lineage (full)rootcellular organismsEukaryotaViridiplantaeStreptophytaStreptophytinaEmbryophytaTracheophytaEuphyllophytaSpermatophytaMagnoliophytaMesangiospermaeeudicotyledons

   Gunneridae
   stem eudicotyledons

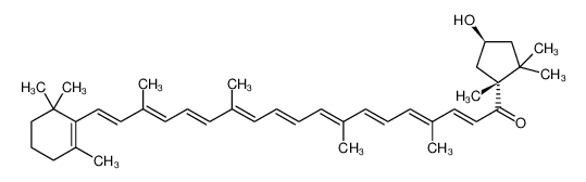
   CA00621   
    Helenien
 - C40 including C40 originated apocarotenoids and intermediates, beta,epsilon hydroxycarotenoid

   CA01024   
    Annuionone H
 - C40 including C40 originated apocarotenoids and intermediates, beta,- apo apocarotenoid

   CA01018   
    Annuionone G
 - C40 including C40 originated apocarotenoids and intermediates, beta,- apo apocarotenoid

   CA01023   
    Annuionone E
 - C40 including C40 originated apocarotenoids and intermediates, beta,- apo apocarotenoid

   CA01017   
    Annuionone F
 - C40 including C40 originated apocarotenoids and intermediates, beta,- apo apocarotenoid

   CA01021   
    Annuionone C
 - C40 including C40 originated apocarotenoids and intermediates, beta,- apo apocarotenoid

   CA01022   
    Annuionone D
 - C40 including C40 originated apocarotenoids and intermediates, beta,- apo apocarotenoid

   CA01019   
    Annuionone A
 - C40 including C40 originated apocarotenoids and intermediates, beta,- apo apocarotenoid

   CA01020   
    Annuionone B
 - C40 including C40 originated apocarotenoids and intermediates, beta,- apo apocarotenoid

   CA00249   
    Rubichrome
 - C40 including C40 originated apocarotenoids and intermediates, beta,psi epoxycarotenoid

   CA00612   
    (3S,3'R,5S,6S,6'R)-5,6-Dihydroxy-5,6-dihydrolutein
 - C40 including C40 originated apocarotenoids and intermediates, beta,epsilon hydroxycarotenoid

   CA00632   
    Taraxien
 - C40 including C40 originated apocarotenoids and intermediates, beta,epsilon epoxycarotenoid

   CA00309   
    β-Carotene
 - C40 including C40 originated apocarotenoids and intermediates, beta,beta hydrocarbon

   CA00597   
    Lutein
 - C40 including C40 originated apocarotenoids and intermediates, beta,epsilon hydroxycarotenoid

   CA00414   
    Neoxanthin
 - C40 including C40 originated apocarotenoids and intermediates, beta,beta epoxycarotenoid

   CA00416   
    Violaxanthin
 - C40 including C40 originated apocarotenoids and intermediates, beta,beta epoxycarotenoid

   CA01209   
    (6S,9R)-Roseoside
 - C40 including C40 originated apocarotenoids and intermediates, epsilon,- apo apocarotenoid

   CA01211   
    (6S,9S)-Roseoside
 - C40 including C40 originated apocarotenoids and intermediates, epsilon,- apo apocarotenoid

   CA00044   
    Prolycopene
 - C40 including C40 originated apocarotenoids and intermediates, psi,psi hydrocarbon

   CA00311   
    (9Z)-β-Carotene
 - C40 including C40 originated apocarotenoids and intermediates, beta,beta hydrocarbon

   CA00328   
    Zeaxanthin
 - C40 including C40 originated apocarotenoids and intermediates, beta,beta hydroxycarotenoid

   CA00976   
    (9Z)-Violaxanthin
 - C40 including C40 originated apocarotenoids and intermediates, beta,beta epoxycarotenoid

   CA00811   
    β-Apo-10'-carotenal
 - C40 including C40 originated apocarotenoids and intermediates, beta,- apo apocarotenoid

   CA01135   
    (9Z,3S,5R,6S)-5,6-Epoxy-3-hydroxy-12'-apo-β-caroten-12'-al
 - C40 including C40 originated apocarotenoids and intermediates, beta,- apo apocarotenoid

   CA00848   
    β-Apo-13-carotenone
 - C40 including C40 originated apocarotenoids and intermediates, beta,- apo apocarotenoid

   CA01134   
    3-Hydroxy-α-Ionone
 - C40 including C40 originated apocarotenoids and intermediates, epsilon,- apo apocarotenoid

   CA01133   
    C14 aldehyde
 - C40 including C40 originated apocarotenoids and intermediates, -,- apo apocarotenoid

   CA01137   
    C9-aldehyde
 - C40 including C40 originated apocarotenoids and intermediates, -,- apo apocarotenoid

   CA01161   
    Methyl carlactonoate
 - C40 including C40 originated apocarotenoids and intermediates, beta,- apo apocarotenoid

   CA01158   
    19-Hydroxy-carlactone
 - C40 including C40 originated apocarotenoids and intermediates, beta,- apo apocarotenoid

   CA01157   
    Carlactone
 - C40 including C40 originated apocarotenoids and intermediates, beta,- apo apocarotenoid

   CA01160   
    Carlactonoic acid
 - C40 including C40 originated apocarotenoids and intermediates, beta,- apo apocarotenoid

   CA01159   
    19-Oxo-carlactone
 - C40 including C40 originated apocarotenoids and intermediates, beta,- apo apocarotenoid

   CA01162   
    4-deoxyorobanchol
 - C40 including C40 originated apocarotenoids and intermediates, beta,- apo apocarotenoid

   CA00546   
    Loniceraxanthin
 - C40 including C40 originated apocarotenoids and intermediates, beta,beta ketone

   CA00555   
    Webbiaxanthin
 - C40 including C40 originated apocarotenoids and intermediates, beta,beta ketone

   CA00349   
    Mimulaxanthin
 - C40 including C40 originated apocarotenoids and intermediates, beta,beta hydroxycarotenoid

   CA00829   
    Azafrin
 - C40 including C40 originated apocarotenoids and intermediates, beta,- apo apocarotenoid

   CA00819   
    Aeginetin
 - C40 including C40 originated apocarotenoids and intermediates, beta,- apo apocarotenoid

   CA01156   
    Sorgomol
 - C40 including C40 originated apocarotenoids and intermediates, beta,- apo apocarotenoid

   CA01154   
    Sorgolactone
 - C40 including C40 originated apocarotenoids and intermediates, beta,- apo apocarotenoid

   CA00852   
    6-O-sec-Hydroxyaeginetoyl ajugol
 - C40 including C40 originated apocarotenoids and intermediates, beta,- apo apocarotenoid

   CA00850   
    Neorehmannioside
 - C40 including C40 originated apocarotenoids and intermediates, beta,- apo apocarotenoid

   CA00851   
    Oxyrehmaionoside B
 - C40 including C40 originated apocarotenoids and intermediates, beta,- apo apocarotenoid

   CA00322   
    β-Cryptoxanthin
 - C40 including C40 originated apocarotenoids and intermediates, beta,beta hydroxycarotenoid

   CA00400   
    Cryptoxanthin 5,6-epoxide
 - C40 including C40 originated apocarotenoids and intermediates, beta,beta epoxycarotenoid

   CA00407   
    Antheraxanthin
 - C40 including C40 originated apocarotenoids and intermediates, beta,beta epoxycarotenoid

   CA00426   
    Latoxanthin
 - C40 including C40 originated apocarotenoids and intermediates, beta,beta epoxycarotenoid

   CA00587   
    α-Carotene
 - C40 including C40 originated apocarotenoids and intermediates, beta,epsilon hydrocarbon

   CA00593   
    α-Cryptoxanthin
 - C40 including C40 originated apocarotenoids and intermediates, beta,epsilon hydroxycarotenoid

   CA00832   
    β-Citraurin
 - C40 including C40 originated apocarotenoids and intermediates, beta,- apo apocarotenoid

   CA00846   
    Apo-10'-zeaxanthinal
 - C40 including C40 originated apocarotenoids and intermediates, beta,- apo apocarotenoid

   CA00810   
    Apo-12'-zeaxanthinal
 - C40 including C40 originated apocarotenoids and intermediates, beta,- apo apocarotenoid

   CA01002   
    Apo-14'-zeaxanthinal
 - C40 including C40 originated apocarotenoids and intermediates, beta,- apo apocarotenoid

   CA01000   
    Apo-15-zeaxanthinal
 - C40 including C40 originated apocarotenoids and intermediates, beta,- apo apocarotenoid

   CA01003   
    Apo-13-zeaxanthinone
 - C40 including C40 originated apocarotenoids and intermediates, beta,- apo apocarotenoid

   CA01001   
    Apo-11-zeaxanthinal
 - C40 including C40 originated apocarotenoids and intermediates, beta,- apo apocarotenoid

   CA00998   
    (3R)-3-Hydroxy-β-ionone
 - C40 including C40 originated apocarotenoids and intermediates, beta,- apo apocarotenoid

   CA00882   
    Apo-8'-capsorubinal
 - C40 including C40 originated apocarotenoids and intermediates, kappa,- apo apocarotenoid

   CA00881   
    Apo-12'-capsorubinal
 - C40 including C40 originated apocarotenoids and intermediates, kappa,- apo apocarotenoid

   CA00885   
    Retro-C18-dione
 - C40 including C40 originated apocarotenoids and intermediates, -,- apo apocarotenoid

   CA00353   
    5,6-Diepikarpoxanthin
 - C40 including C40 originated apocarotenoids and intermediates, beta,beta hydroxycarotenoid

   CA00352   
    6-Epikarpoxanthin
 - C40 including C40 originated apocarotenoids and intermediates, beta,beta hydroxycarotenoid

   CA00419   
    Luteoxanthin
 - C40 including C40 originated apocarotenoids and intermediates, beta,beta epoxycarotenoid

   CA00425   
    5,6-Diepilatoxanthin
 - C40 including C40 originated apocarotenoids and intermediates, beta,beta epoxycarotenoid

   CA00751   
    5,6-Diepicapsokarpoxanthin
 - C40 including C40 originated apocarotenoids and intermediates, beta,kappa ketone

   CA00742   
    4-Ketocapsanthin
 - C40 including C40 originated apocarotenoids and intermediates, beta,kappa ketone

   CA00631   
    Foliachrome
 - C40 including C40 originated apocarotenoids and intermediates, beta,epsilon epoxycarotenoid

   CA01047   
    Prenigroxanthin
 - C40 including C40 originated apocarotenoids and intermediates, beta,gamma hydroxycarotenoid

   CA00736   
    Cryptocapsone
 - C40 including C40 originated apocarotenoids and intermediates, beta,kappa ketone

   CA00737   
    Cryptocapsin
 - C40 including C40 originated apocarotenoids and intermediates, beta,kappa ketone

   CA00738   
    Capsanthone
 - C40 including C40 originated apocarotenoids and intermediates, beta,kappa ketone

   CA00739   
    Capsanthin
 - C40 including C40 originated apocarotenoids and intermediates, beta,kappa ketone

   CA00747   
    Capsochrome
 - C40 including C40 originated apocarotenoids and intermediates, beta,kappa ketone

   CA00787   
    7,8,7',8'-Tetrahydrocapsorubin
 - C40 including C40 originated apocarotenoids and intermediates, kappa,kappa ketone

   CA00785   
    Capsorubin
 - C40 including C40 originated apocarotenoids and intermediates, kappa,kappa ketone

   CA00786   
    Capsorubone
 - C40 including C40 originated apocarotenoids and intermediates, kappa,kappa ketone

   CA00390   
    Physalien
 - C40 including C40 originated apocarotenoids and intermediates, beta,beta hydroxycarotenoid

   CA00060   
    Phytoene
 - C40 including C40 originated apocarotenoids and intermediates, psi,psi hydrocarbon

   CA00066   
    (7Z,9Z,9'Z)-Neurosporene
 - C40 including C40 originated apocarotenoids and intermediates, psi,psi hydrocarbon

   CA00071   
    Lycoxanthin
 - C40 including C40 originated apocarotenoids and intermediates, psi,psi hydroxycarotenoid

   CA00983   
    (2S,5R,6R)-1,16-didehydro- 2,6-cyclolycopene-5-ol
 - C40 including C40 originated apocarotenoids and intermediates, psi,psi hydroxycarotenoid

   CA00131   
    Phytofluenol
 - C40 including C40 originated apocarotenoids and intermediates, psi,psi hydroxycarotenoid

   CA01053   
    (2S,5S,6R)-1,16-didehydro-2,6-cyclolycopene-5-ol
 - C40 including C40 originated apocarotenoids and intermediates, psi,psi hydroxycarotenoid

   CA01056   
    (2R,5R,6R)-2,6-cyclolycopene-1,5-diol
 - C40 including C40 originated apocarotenoids and intermediates, psi,psi hydroxycarotenoid

   CA00984   
    (2S,5S,6R)-2,6-cyclolycopene-1-methoxy-5-ol
 - C40 including C40 originated apocarotenoids and intermediates, psi,psi hydroxycarotenoid

   CA00150   
    Lycopene 5,6-epoxide
 - C40 including C40 originated apocarotenoids and intermediates, psi,psi epoxycarotenoid

   CA00147   
    ζ-Carotene epoxide
 - C40 including C40 originated apocarotenoids and intermediates, psi,psi epoxycarotenoid

   CA00151   
    Phytofluene epoxide
 - C40 including C40 originated apocarotenoids and intermediates, psi,psi epoxycarotenoid

   CA00148   
    Phytoene epoxide
 - C40 including C40 originated apocarotenoids and intermediates, psi,psi epoxycarotenoid

   CA00302   
    3-Hydroxy-δ-carotene
 - C40 including C40 originated apocarotenoids and intermediates, epsilon,psi hydroxycarotenoid

   CA00397   
    Mutatochrome
 - C40 including C40 originated apocarotenoids and intermediates, beta,beta epoxycarotenoid

   CA00678   
    Anhydrolutein I
 - C40 including C40 originated apocarotenoids and intermediates, beta,gamma hydroxycarotenoid

   CA00790   
    Apo-6'-lycopenal
 - C40 including C40 originated apocarotenoids and intermediates, psi,- apo apocarotenoid

   CA00789   
    Apo-8'-lycopenal
 - C40 including C40 originated apocarotenoids and intermediates, psi,- apo apocarotenoid

   CA01148   
    Apo-10'-lycopenal
 - C40 including C40 originated apocarotenoids and intermediates, psi,- apo apocarotenoid

   CA01219   
    Apo-12'-lycopenal
 - C40 including C40 originated apocarotenoids and intermediates, psi,- apo apocarotenoid

   CA01220   
    Apo-14'-lycopenal
 - C40 including C40 originated apocarotenoids and intermediates, psi,- apo apocarotenoid

   CA01010   
    Geranylacetone
 - C40 including C40 originated apocarotenoids and intermediates, psi,- apo apocarotenoid

   CA01013   
    Pseudoionone
 - C40 including C40 originated apocarotenoids and intermediates, psi,- apo apocarotenoid

   CA01055   
    (2S,5S,6R)-plinol
 - C40 including C40 originated apocarotenoids and intermediates, psi,- apo apocarotenoid

   CA01011   
    6-methyl-5-hepten-2-one
 - C40 including C40 originated apocarotenoids and intermediates, psi,- apo apocarotenoid

   CA00803   
    β-Ionone
 - C40 including C40 originated apocarotenoids and intermediates, beta,- apo apocarotenoid

   CA00800   
    β-Damascenone
 - C40 including C40 originated apocarotenoids and intermediates, beta,- apo apocarotenoid

   CA00298   
    δ-Carotene
 - C40 including C40 originated apocarotenoids and intermediates, epsilon,psi hydrocarbon

   CA01016   
    Boscialin
 - C40 including C40 originated apocarotenoids and intermediates, beta,- apo apocarotenoid

   CA01014   
    3β-hydroxy-5α,6α-epoxy-7-megastigmen-9-one
 - C40 including C40 originated apocarotenoids and intermediates, beta,- apo apocarotenoid

   CA01012   
    Grasshopper ketone
 - C40 including C40 originated apocarotenoids and intermediates, beta,- apo apocarotenoid

   CA00862   
    Blumenol C
 - C40 including C40 originated apocarotenoids and intermediates, epsilon,- apo apocarotenoid

   CA01015   
    Dehydrovomifoliol
 - C40 including C40 originated apocarotenoids and intermediates, epsilon,- apo apocarotenoid

   CA00805   
    Blumenol A
 - C40 including C40 originated apocarotenoids and intermediates, epsilon,- apo apocarotenoid

   CA00160   
    3,4-Dehydrolycopen-16-al
 - C40 including C40 originated apocarotenoids and intermediates, psi,psi aldehyde

   CA00972   
    β-Cryptoxanthin palmitate
 - C40 including C40 originated apocarotenoids and intermediates, beta,beta hydroxycarotenoid

   CA01218   
    Zeaxanthin monopalmitate
 - C40 including C40 originated apocarotenoids and intermediates, beta,beta hydroxycarotenoid

   CA00410   
    Mutatoxanthin
 - C40 including C40 originated apocarotenoids and intermediates, beta,beta epoxycarotenoid

   CA01165   
    Oxoedulan
 - C40 including C40 originated apocarotenoids and intermediates, beta,- apo apocarotenoid

   CA01171   
    Megastigma-5,8-dien-4-one
 - C40 including C40 originated apocarotenoids and intermediates, beta,- apo apocarotenoid

   CA01172   
    4-oxo-β-ionone
 - C40 including C40 originated apocarotenoids and intermediates, beta,- apo apocarotenoid

   CA01170   
    Megastigma-4,6,8-trien-3-one
 - C40 including C40 originated apocarotenoids and intermediates, epsilon,- apo apocarotenoid

   CA01169   
    Megastigma-4,7E,9-trien-3-one
 - C40 including C40 originated apocarotenoids and intermediates, epsilon,- apo apocarotenoid

   CA01164   
    Vitispirane
 - C40 including C40 originated apocarotenoids and intermediates, gamma,- apo apocarotenoid

   CA00802   
    γ-Damascenone
 - C40 including C40 originated apocarotenoids and intermediates, gamma,- apo apocarotenoid

   CA01118   
    (3S,5R,6R,8S)-9-Apo-6,7-didehydro-5,6-dihydro-3,5-dihydroxy-beta-carotene
 - C40 including C40 originated apocarotenoids and intermediates, beta,- apo apocarotenoid

   CA00869   
    3-Hydroxy-13-apo-α-caroten-13-one
 - C40 including C40 originated apocarotenoids and intermediates, epsilon,- apo apocarotenoid

   CA00870   
    (6S,7E,9E,11E)-3-Oxo-13-apo-α-caroten-13-one
 - C40 including C40 originated apocarotenoids and intermediates, epsilon,- apo apocarotenoid

   CA01059   
    Abscisic alchol
 - C40 including C40 originated apocarotenoids and intermediates, epsilon,- apo apocarotenoid

   CA01120   
    4-Megastigmen-3,9-dione
 - C40 including C40 originated apocarotenoids and intermediates, epsilon,- apo apocarotenoid

   CA01121   
    3,6,9-Trihydroxy-4-megastigmene
 - C40 including C40 originated apocarotenoids and intermediates, epsilon,- apo apocarotenoid

   CA01119   
    3,9-Dihydroxy-4-megastigmene
 - C40 including C40 originated apocarotenoids and intermediates, epsilon,- apo apocarotenoid

   CA01116   
    (6R,7E)-4,7-megastigmadien-3,9-dione
 - C40 including C40 originated apocarotenoids and intermediates, epsilon,- apo apocarotenoid

   CA01113   
    (3R,6R,7E)-3-Hydroxy-4,7-megastigmadien-9-one
 - C40 including C40 originated apocarotenoids and intermediates, epsilon,- apo apocarotenoid

   CA01114   
    (6R,7E,9R)-9-Hydroxy-4,7-megastigmadien-3-one
 - C40 including C40 originated apocarotenoids and intermediates, epsilon,- apo apocarotenoid

   CA01115   
    (3R,6R,7E,9R)-3,9-dihydroxy-4,7-megastigmadiene
 - C40 including C40 originated apocarotenoids and intermediates, epsilon,- apo apocarotenoid

   CA00184   
    Ketohydroxylycopene
 - C40 including C40 originated apocarotenoids and intermediates, psi,psi ketone

   CA01138   
    Cyclohexenone
 - C40 including C40 originated apocarotenoids and intermediates, epsilon,- apo apocarotenoid

   CA00864   
    α-Ionone
 - C40 including C40 originated apocarotenoids and intermediates, epsilon,- apo apocarotenoid

   CA00884   
    Mycorradicin
 - C40 including C40 originated apocarotenoids and intermediates, -,- apo apocarotenoid

   CA00043   
    Lycopene
 - C40 including C40 originated apocarotenoids and intermediates, psi,psi hydrocarbon

   CA00061   
    (all-E)-Phytoene
 - C40 including C40 originated apocarotenoids and intermediates, psi,psi hydrocarbon

   CA00051   
    ζ-Carotene
 - C40 including C40 originated apocarotenoids and intermediates, psi,psi hydrocarbon

   CA00047   
    Neurosporene
 - C40 including C40 originated apocarotenoids and intermediates, psi,psi hydrocarbon

   CA00191   
    γ-Carotene
 - C40 including C40 originated apocarotenoids and intermediates, beta,psi hydrocarbon

   CA00312   
    (13Z)-β-Carotene
 - C40 including C40 originated apocarotenoids and intermediates, beta,beta hydrocarbon

   CA00402   
    β-Carotene diepoxide
 - C40 including C40 originated apocarotenoids and intermediates, beta,beta epoxycarotenoid

   CA00403   
    Luteochrome
 - C40 including C40 originated apocarotenoids and intermediates, beta,beta epoxycarotenoid

   CA00299   
    α-Zeacarotene
 - C40 including C40 originated apocarotenoids and intermediates, epsilon,psi hydrocarbon

   CA00396   
    β-Carotene 5,6-epoxide
 - C40 including C40 originated apocarotenoids and intermediates, beta,beta epoxycarotenoid

   CA01238   
    Violaxanthin di-myristate
 - C40 including C40 originated apocarotenoids and intermediates, beta,beta epoxycarotenoid

   CA00433   
    Pittosporumxanthin A
 - C40 including C40 originated apocarotenoids and intermediates, beta,beta epoxycarotenoid

   CA00450   
    Pittosporumxanthin A1
 - C40 including C40 originated apocarotenoids and intermediates, beta,beta epoxycarotenoid

   CA00451   
    Pittosporumxanthin A2
 - C40 including C40 originated apocarotenoids and intermediates, beta,beta epoxycarotenoid

   CA00452   
    Pittosporumxanthin A3
 - C40 including C40 originated apocarotenoids and intermediates, beta,beta epoxycarotenoid

   CA00453   
    Pittosporumxanthin A4
 - C40 including C40 originated apocarotenoids and intermediates, beta,beta epoxycarotenoid

   CA00431   
    Pittosporumxanthin B
 - C40 including C40 originated apocarotenoids and intermediates, beta,beta epoxycarotenoid

   CA00458   
    Pittosporumxanthin B1
 - C40 including C40 originated apocarotenoids and intermediates, beta,beta epoxycarotenoid

   CA00449   
    Pittosporumxanthin B2
 - C40 including C40 originated apocarotenoids and intermediates, beta,beta epoxycarotenoid

   CA00432   
    Pittosporumxanthin C
 - C40 including C40 originated apocarotenoids and intermediates, beta,beta epoxycarotenoid

   CA00454   
    Pittosporumxanthin C1
 - C40 including C40 originated apocarotenoids and intermediates, beta,beta epoxycarotenoid

   CA00455   
    Pittosporumxanthin C2
 - C40 including C40 originated apocarotenoids and intermediates, beta,beta epoxycarotenoid

   CA00585   
    5',6'-Epoxy-3'-hydroxy-3-methoxy-4,5-didehydro-5',6'-dihydro-4,6-cyclo-5,6-seco-beta,beta-caroten-5-one
 - C40 including C40 originated apocarotenoids and intermediates, beta,beta secocarotenoid

   CA00977   
    (9'Z)-5',6'-Epoxy-3'-hydroxy-3-methoxy-4,5-didehydro-5',6'-dihydro-4,6-cyclo-5,6-seco-beta,beta-caroten-5-one
 - C40 including C40 originated apocarotenoids and intermediates, beta,beta secocarotenoid

   CA00586   
    5',8'-Epoxy-3'-hydroxy-3-methoxy-4,5-didehydro-5',8'-dihydro-4,6-cyclo-5,6-seco-beta,beta-caroten-5-one
 - C40 including C40 originated apocarotenoids and intermediates, beta,beta secocarotenoid

   CA01025   
    Tobiraxanthin A1
 - C40 including C40 originated apocarotenoids and intermediates, beta,beta secocarotenoid

   CA01026   
    Tobiraxanthin A2
 - C40 including C40 originated apocarotenoids and intermediates, beta,beta secocarotenoid

   CA01027   
    Tobiraxanthin A3
 - C40 including C40 originated apocarotenoids and intermediates, beta,beta secocarotenoid

   CA01028   
    Tobiraxanthin B
 - C40 including C40 originated apocarotenoids and intermediates, beta,beta secocarotenoid

   CA01029   
    Tobiraxanthin C
 - C40 including C40 originated apocarotenoids and intermediates, beta,beta secocarotenoid

   CA01030   
    Tobiraxanthin D
 - C40 including C40 originated apocarotenoids and intermediates, beta,beta secocarotenoid

   CA00422   
    (9'Z)-Neoxanthin
 - C40 including C40 originated apocarotenoids and intermediates, beta,beta epoxycarotenoid

   CA00760   
    Sapotexanthin
 - C40 including C40 originated apocarotenoids and intermediates, beta,kappa ketone

   CA01228   
    (5R,6S,5'R)-Sapotexanthin 5,6-epoxide
 - C40 including C40 originated apocarotenoids and intermediates, beta,kappa ketone

   CA00761   
    Cryptocapsin-5,6-epoxide
 - C40 including C40 originated apocarotenoids and intermediates, beta,kappa ketone

   CA00762   
    Cryptocapsin-5,8-epoxide
 - C40 including C40 originated apocarotenoids and intermediates, beta,kappa ketone

   CA00744   
    Capsoneoxanthin
 - C40 including C40 originated apocarotenoids and intermediates, beta,kappa ketone

   CA00314   
    Anhydroeschscholtzxanthin
 - C40 including C40 originated apocarotenoids and intermediates, beta,beta hydrocarbon

   CA00057   
    Phytofluene
 - C40 including C40 originated apocarotenoids and intermediates, psi,psi hydrocarbon

   CA00401   
    Cryptoflavin
 - C40 including C40 originated apocarotenoids and intermediates, beta,beta epoxycarotenoid

   CA00412   
    Cryptochrome
 - C40 including C40 originated apocarotenoids and intermediates, beta,beta epoxycarotenoid

   CA00825   
    β-Apo-8'-carotenal
 - C40 including C40 originated apocarotenoids and intermediates, beta,- apo apocarotenoid

   CA00951   
    (3'Z,5'Z)-Torulene
 - C40 including C40 originated apocarotenoids and intermediates, beta,psi hydrocarbon

   CA00221   
    Celaxanthin
 - C40 including C40 originated apocarotenoids and intermediates, beta,psi hydroxycarotenoid

   CA00950   
    (3'Z,5'Z)-Celaxanthin
 - C40 including C40 originated apocarotenoids and intermediates, beta,psi hydroxycarotenoid

   CA00804   
    3-Hydroxy-β-damascone
 - C40 including C40 originated apocarotenoids and intermediates, beta,- apo apocarotenoid

   CA00843   
    3-oxo-α-Ionol
 - C40 including C40 originated apocarotenoids and intermediates, epsilon,- apo apocarotenoid

   CA00814   
    Persicachrome
 - C40 including C40 originated apocarotenoids and intermediates, beta,- apo apocarotenoid

   CA00813   
    Persicaxanthin
 - C40 including C40 originated apocarotenoids and intermediates, beta,- apo apocarotenoid

   CA00883   
    Rosafluin
 - C40 including C40 originated apocarotenoids and intermediates, -,- apo apocarotenoid

   CA00948   
    Gazaniaxanthin
 - C40 including C40 originated apocarotenoids and intermediates, beta,psi hydroxycarotenoid

   CA00351   
    Karpoxanthin
 - C40 including C40 originated apocarotenoids and intermediates, beta,beta hydroxycarotenoid

   CA00441   
    (8'R)-Luteoxanthin
 - C40 including C40 originated apocarotenoids and intermediates, beta,beta epoxycarotenoid

   CA00442   
    (8'S)-Luteoxanthin
 - C40 including C40 originated apocarotenoids and intermediates, beta,beta epoxycarotenoid

   CA00443   
    (8R,8'R)-Auroxanthin
 - C40 including C40 originated apocarotenoids and intermediates, beta,beta epoxycarotenoid

   CA00444   
    (8R,8'S)-Auroxanthin
 - C40 including C40 originated apocarotenoids and intermediates, beta,beta epoxycarotenoid

   CA00427   
    Latochrome
 - C40 including C40 originated apocarotenoids and intermediates, beta,beta epoxycarotenoid

   CA00815   
    Galloxanthin
 - C40 including C40 originated apocarotenoids and intermediates, beta,- apo apocarotenoid

   CA00812   
    Apo-10'-β-carotenol
 - C40 including C40 originated apocarotenoids and intermediates, beta,- apo apocarotenoid

   CA00260   
    Rubixanthone
 - C40 including C40 originated apocarotenoids and intermediates, beta,psi ketone

   CA01207   
    5,6-Epoxy-3-hydroxy-β-ionone
 - C40 including C40 originated apocarotenoids and intermediates, beta,- apo apocarotenoid

   CA01076   
    β-Damascone
 - C40 including C40 originated apocarotenoids and intermediates, beta,- apo apocarotenoid

   CA00599   
    3'-Epilutein
 - C40 including C40 originated apocarotenoids and intermediates, beta,epsilon hydroxycarotenoid

   CA01239   
    Violaxanthin laurate myristate
 - C40 including C40 originated apocarotenoids and intermediates, beta,beta epoxycarotenoid

   CA01240   
    Violaxanthin di-laurate
 - C40 including C40 originated apocarotenoids and intermediates, beta,beta epoxycarotenoid

   CA00198   
    Rubixanthin
 - C40 including C40 originated apocarotenoids and intermediates, beta,psi hydroxycarotenoid

   CA00682   
    Tunaxanthin F
 - C40 including C40 originated apocarotenoids and intermediates, epsilon,epsilon hydroxycarotenoid

   CA00793   
    Methyl apo-6'-lycopenoate
 - C40 including C40 originated apocarotenoids and intermediates, psi,- apo apocarotenoid

   CA01230   
    Methyl 9'Z-apo-6'-lycopenoate
 - C40 including C40 originated apocarotenoids and intermediates, psi,- apo apocarotenoid

   CA00897   
    6-Geranylgeranyl 8'-methyl 6,8'-diapocarotene-6,8'-dioate
 - C40 including C40 originated apocarotenoids and intermediates, -,- apo apocarotenoid

   CA00895   
    Methylbixin
 - C40 including C40 originated apocarotenoids and intermediates, -,- apo apocarotenoid

   CA00899   
    (all-E)-Methylbixin
 - C40 including C40 originated apocarotenoids and intermediates, -,- apo apocarotenoid

   CA00894   
    Bixin
 - C40 including C40 originated apocarotenoids and intermediates, -,- apo apocarotenoid

   CA00893   
    Norbixin
 - C40 including C40 originated apocarotenoids and intermediates, -,- apo apocarotenoid

   CA00891   
    Apo-8'-bixinal
 - C40 including C40 originated apocarotenoids and intermediates, -,- apo apocarotenoid

   CA00887   
    Apo-10'-bixinal
 - C40 including C40 originated apocarotenoids and intermediates, -,- apo apocarotenoid

   CA00187   
    12,12'-Diapocarotene-dial
 - C40 including C40 originated apocarotenoids and intermediates, -,- apo apocarotenoid

   CA00041   
    Methyl (9Z)-6'-oxo-6,5'-diapocaroten-6-oate
 - C40 including C40 originated apocarotenoids and intermediates, -,- apo apocarotenoid

   CA00040   
    Methyl (9Z)-6'-oxo-6,6'-diapocaroten-6-oate
 - C40 including C40 originated apocarotenoids and intermediates, -,- apo apocarotenoid

   CA00874   
    Cochloxanthin
 - C40 including C40 originated apocarotenoids and intermediates, epsilon,psi apocarotenoid

   CA00839   
    Dihydrocochloxanthin
 - C40 including C40 originated apocarotenoids and intermediates, beta,- apo apocarotenoid

   CA00875   
    Vitixanthin
 - C40 including C40 originated apocarotenoids and intermediates, epsilon,psi apocarotenoid

   CA00840   
    Dihydrovitixanthin
 - C40 including C40 originated apocarotenoids and intermediates, beta,- apo apocarotenoid

   CA00798   
    β-Citraurin epoxide
 - C40 including C40 originated apocarotenoids and intermediates, beta,- apo apocarotenoid

   CA01246   
    Aesculaxanthin
 - C40 including C40 originated apocarotenoids and intermediates, beta,- apo apocarotenoid

   CA01247   
    Aesculaxanthol
 - C40 including C40 originated apocarotenoids and intermediates, beta,- apo apocarotenoid

   CA00053   
    (9Z,15Z,9'Z)-ζ-Carotene
 - C40 including C40 originated apocarotenoids and intermediates, psi,psi hydrocarbon

   CA00975   
    3-Palmitoyloxy-10'-apo-β-caroten-10'-oic acid
 - C40 including C40 originated apocarotenoids and intermediates, beta,- apo apocarotenoid

   CA01178   
    2,7-Epoxy-megastigma-4,8-diene
 - C40 including C40 originated apocarotenoids and intermediates, beta,- apo apocarotenoid

   CA01177   
    2,5-Epoxy-megastigma-6(Z),8(E)-diene
 - C40 including C40 originated apocarotenoids and intermediates, beta,- apo apocarotenoid

   CA00286   
    Reticulataxanthin
 - C40 including C40 originated apocarotenoids and intermediates, beta,- apo apocarotenoid

   CA00318   
    η-Carotene
 - C40 including C40 originated apocarotenoids and intermediates, beta,beta hydrocarbon

   CA00826   
    β-Citraurinene
 - C40 including C40 originated apocarotenoids and intermediates, beta,- apo apocarotenoid

   CA00291   
    Tangeraxanthin
 - C40 including C40 originated apocarotenoids and intermediates, beta,psi apo apocarotenoid

   CA00969   
    β-Cryptoxanthin caprate
 - C40 including C40 originated apocarotenoids and intermediates, beta,beta hydroxycarotenoid

   CA00970   
    β-Cryptoxanthin laurate
 - C40 including C40 originated apocarotenoids and intermediates, beta,beta hydroxycarotenoid

   CA00973   
    β-Cryptoxanthin oleate
 - C40 including C40 originated apocarotenoids and intermediates, beta,beta hydroxycarotenoid

   CA00974   
    β-Cryptoxanthin myristate
 - C40 including C40 originated apocarotenoids and intermediates, beta,beta hydroxycarotenoid

   CA00971   
    β-Cryptoxanthin palmitoleate
 - C40 including C40 originated apocarotenoids and intermediates, beta,beta hydroxycarotenoid

   CA00411   
    Cryptoxanthin diepoxide
 - C40 including C40 originated apocarotenoids and intermediates, beta,beta epoxycarotenoid

   CA00860   
    Hydroxysintaxanthin 5,6-epoxide
 - C40 including C40 originated apocarotenoids and intermediates, beta,- apo apocarotenoid

   CA00855   
    5,8-Epoxy-3-hydroxy-5,8-dihydro-8'-apo-beta-caroten-8'-al
 - C40 including C40 originated apocarotenoids and intermediates, beta,- apo apocarotenoid

   CA00820   
    Apo-10'-violaxanthal
 - C40 including C40 originated apocarotenoids and intermediates, beta,- apo apocarotenoid

   CA00841   
    Apo-12'-violaxanthal
 - C40 including C40 originated apocarotenoids and intermediates, beta,- apo apocarotenoid

   CA00194   
    β-Zeacarotene
 - C40 including C40 originated apocarotenoids and intermediates, beta,psi hydrocarbon

   CA00421   
    Auroxanthin
 - C40 including C40 originated apocarotenoids and intermediates, beta,beta epoxycarotenoid

   CA00831   
    Sintaxanthin
 - C40 including C40 originated apocarotenoids and intermediates, beta,- apo apocarotenoid

   CA00824   
    Valenciaxanthin
 - C40 including C40 originated apocarotenoids and intermediates, beta,- apo apocarotenoid

   CA00822   
    Sinensiachrome
 - C40 including C40 originated apocarotenoids and intermediates, beta,- apo apocarotenoid

   CA00821   
    Sinensiaxanthin
 - C40 including C40 originated apocarotenoids and intermediates, beta,- apo apocarotenoid

   CA00294   
    8'-Hydroxy-7',8'-dihydroreticulaxanthin
 - C40 including C40 originated apocarotenoids and intermediates, beta,- apo apocarotenoid

   CA00285   
    Citranaxanthin
 - C40 including C40 originated apocarotenoids and intermediates, beta,- apo apocarotenoid

   CA00844   
    β-Apo-12'-carotenal
 - C40 including C40 originated apocarotenoids and intermediates, beta,- apo apocarotenoid

   CA00808   
    β-Apo-14'-carotenal
 - C40 including C40 originated apocarotenoids and intermediates, beta,- apo apocarotenoid

   CA00435   
    Aurochrome
 - C40 including C40 originated apocarotenoids and intermediates, beta,beta epoxycarotenoid

   CA00629   
    Flavochrome
 - C40 including C40 originated apocarotenoids and intermediates, beta,epsilon epoxycarotenoid

   CA00630   
    Chrysanthemaxanthin
 - C40 including C40 originated apocarotenoids and intermediates, beta,epsilon epoxycarotenoid

   CA00378   
    3,4,4'-Trihydroxy-β-carotene
 - C40 including C40 originated apocarotenoids and intermediates, beta,beta hydroxycarotenoid

   CA00370   
    3',4'-Didehydroisocryptoxanthin
 - C40 including C40 originated apocarotenoids and intermediates, beta,beta hydroxycarotenoid

   CA00502   
    (3S,3'S)-Astaxanthin
 - C40 including C40 originated apocarotenoids and intermediates, beta,beta ketone

   CA00611   
    5,6-Dihydroxy-5,6-dihydrolutein
 - C40 including C40 originated apocarotenoids and intermediates, beta,epsilon hydroxycarotenoid

   CA01074   
    Ditaxanthin
 - C40 including C40 originated apocarotenoids and intermediates, epsilon,psi apocarotenoid

   CA01073   
    Heteranthin
 - C40 including C40 originated apocarotenoids and intermediates, epsilon,psi apocarotenoid

   CA00364   
    Monoanhydroeschscholtzxanthin
 - C40 including C40 originated apocarotenoids and intermediates, beta,beta hydroxycarotenoid

   CA00325   
    Eschscholtzxanthin
 - C40 including C40 originated apocarotenoids and intermediates, beta,beta hydroxycarotenoid

   CA00898   
    Crocin
 - C40 including C40 originated apocarotenoids and intermediates, -,- apo apocarotenoid

   CA00903   
    Crocin 2
 - C40 including C40 originated apocarotenoids and intermediates, -,- apo apocarotenoid

   CA00901   
    Crocin 3
 - C40 including C40 originated apocarotenoids and intermediates, -,- apo apocarotenoid

   CA00902   
    Crocin 4
 - C40 including C40 originated apocarotenoids and intermediates, -,- apo apocarotenoid

   CA00896   
    Crocin 5
 - C40 including C40 originated apocarotenoids and intermediates, -,- apo apocarotenoid

   CA00415   
    Neochrome
 - C40 including C40 originated apocarotenoids and intermediates, beta,beta epoxycarotenoid

   CA01176   
    Oxygenated theaspirane derivative
 - C40 including C40 originated apocarotenoids and intermediates, epsilon,- apo apocarotenoid

   CA01175   
    Oxygenated theaspirane derivative
 - C40 including C40 originated apocarotenoids and intermediates, epsilon,- apo apocarotenoid

   CA01174   
    Theaspirane
 - C40 including C40 originated apocarotenoids and intermediates, epsilon,- apo apocarotenoid

   CA01173   
    C13-spiroether theaspirone
 - C40 including C40 originated apocarotenoids and intermediates, epsilon,- apo apocarotenoid

   CA01066   
    Tectoionols A
 - C40 including C40 originated apocarotenoids and intermediates, beta,- apo apocarotenoid

   CA01067   
    Tectoionols B
 - C40 including C40 originated apocarotenoids and intermediates, beta,- apo apocarotenoid

   CA01070   
    9-Apo-7,8-dihydro-3,9-dihydroxy-beta-carotene
 - C40 including C40 originated apocarotenoids and intermediates, beta,- apo apocarotenoid

   CA01069   
    9-Apo-7,8-dihydro-3-hydroxy-beta-caroten-9-one
 - C40 including C40 originated apocarotenoids and intermediates, beta,- apo apocarotenoid

   CA01071   
    (9S)-9-Apo-7,8-dihydro-9-hydroxy-beta-caroten-4-one
 - C40 including C40 originated apocarotenoids and intermediates, beta,- apo apocarotenoid

   CA01072   
    Tectoionol derivative
 - C40 including C40 originated apocarotenoids and intermediates, beta,- apo apocarotenoid

   CA00806   
    Blumenol B
 - C40 including C40 originated apocarotenoids and intermediates, epsilon,- apo apocarotenoid


Since June 15th, 2015 by Junko Yabuzaki.